来源:特诺科研
局部晚期食管鳞癌(ESCC)采用放化疗(CRT)联合抗 PD-1 治疗已展现出不错的疗效,但目前缺乏可靠的预测标志物区分获益人群 —— 细胞因子作为肿瘤微环境(TME)的免疫炎症介质,其在 ESCC 该治疗模式中的预测价值尚未明确。近日,中山大学肿瘤防治中心团队在《Journal for Immunotherapy of Cancer》(J Immunother Cancer,IF=10.6,2026 年发表,开源获取)发表重磅研究:通过分析两项 II 期临床试验的 81 例 ESCC 患者,筛选出 IL-8、CCL3、CCL4 三个血清细胞因子,构建 CYTOscore 风险模型,可有效预测治疗响应与生存,且在 61 例独立队列中验证成功;多组学分析进一步揭示低风险组 B 细胞富集 IFN-γ/α 通路的免疫微环境特征。

文章信息速览
原标题:Serum cytokines predict response and survival in esophageal squamous cell carcinoma receiving chemoradiotherapy combined with anti-PD-1 antibody: analyses of two phase II clinical trials
期刊:Journal for Immunotherapy of Cancer(J Immunother Cancer,IF=10.6,肿瘤免疫治疗领域顶刊,开源获取)
关键词:食管鳞癌(ESCC)、放化疗联合抗 PD-1、血清细胞因子、CYTOscore 模型、多组学、空间转录组、B 细胞、IFN-γ/α 通路
研究核心亮点
这篇 J Immunother Cancer 顶刊的成功,核心在于 “临床队列筛选→模型构建 + 双重验证→多组学机制解析→临床工具转化” 的闭环体系,4 大步骤完美契合肿瘤免疫治疗顶刊对 “临床价值 + 可靠性 + 科学深度” 的要求,关键结果均严格对应原文图表与数据:
1. 第一步:临床队列初筛,锁定 3 个核心细胞因子(图 1)
研究设计:纳入两项 II 期临床试验(NEOCRTEC1901、EC-CRT-001)的 81 例 ESCC 患者,均接受 CRT + 特瑞普利单抗治疗,检测基线、治疗中、治疗后 3 个时间点的 19 种血清细胞因子;
筛选标准:以“预测 CR 率” 和 “关联 OS/PFS” 为核心终点,通过 ROC 曲线确定最佳截断值,单因素 Cox 分析筛选预后相关因子;
核心结果:基线IL-8、CCL3、CCL4水平升高与更差的 OS(IL-8 HR=3.05,p=0.002;CCL3 HR=2.59,p=0.016)、PFS 显著相关,且低水平组 CR 率显著更高(IL-8:66% vs 39%,p=0.038;图 1C、D);

图1
价值:基于临床真实世界数据筛选,确保标志物的“临床相关性”,是顶刊认可的 “起点逻辑”。
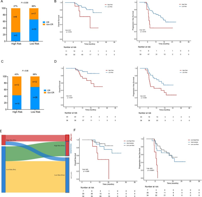
2. 第二步:构建 CYTOscore 模型,内外队列双重验证(图 2、3)
模型构建:将 IL-8、CCL3、CCL4 分别按 “高于截断值 = 1 分,低于 = 0 分” 计分,总分(0-3 分)定义为 CYTOscore,合并 0-1 分为低风险组、2-3 分为高风险组;
内部验证(81 例):
低风险组 CR 率 66%,高风险组仅 35%(p=0.014,图 2E);
低风险组 OS(HR=0.31,95% CI 0.16-0.62,p=0.00045)、PFS(HR=0.33,95% CI 0.17-0.62,p=0.00036)显著更长(图 2D);

图2
外部验证(61 例):
独立队列患者接受 CRT + 替雷利珠单抗治疗,采用相同截断值和计分规则;
低风险组 CR 率 66% vs 高风险组 27%(p=0.039,图 3A),OS(HR=0.30,95% CI 0.09-0.99,p=0.045)、PFS(HR=0.36,95% CI 0.15-0.87,p=0.018)仍更优(图 3B);

图3
动态监测价值:治疗中 / 后 CYTOscore 仍可预测生存,且 “持续低风险” 患者预后最佳(图 2G、3F);
价值:通过“内部 + 外部”“不同 PD-1 抑制剂” 验证,确保模型的 “通用性”,解决了既往研究 “单中心偏倚” 的痛点。
3. 第三步:整合临床特征,构建列线图临床工具(图 4)
模型优化:多因素 Cox 分析确认 CYTOscore(HR=1.62,p=0.004)、TNM 分期(HR=2.86,p=0.0035)、BMI 为独立预后因素,整合三者构建列线图;
预测效能:
列线图预测 1、2、3 年 OS 的 AUC 分别达 0.77、0.78、0.76(图 4B),显著优于单一 CYTOscore;
校准曲线显示,预测值与实际生存 outcomes 一致性良好(图 4C);

图4
价值:从“单纯标志物” 升级为 “临床可用工具”,可量化患者个体风险,直接指导治疗决策 —— 这是顶刊青睐的 “转化导向” 亮点。
4. 第四步:多组学解析机制,锁定 B 细胞 IFN 通路(图 5)
研究手段:对 44 例患者的肿瘤组织进行 Bulk RNA-seq、全外显子测序(WES),对 7 例患者进行空间转录组分析;
核心发现:
Bulk RNA-seq:低风险组富集 IFN-γ/α 信号通路、炎症反应通路,高风险组成纤维细胞、周细胞占比更高(图 5A、B);
空间转录组:两组免疫细胞数量无显著差异,但低风险组 B 细胞中 IFN-γ/α 通路显著富集(图 5E),提示 B 细胞功能增强而非数量增加是疗效提升的关键;

图5
WES:未发现两组基因突变谱差异,排除基因组背景干扰;
机制结论:低水平 IL-8/CCL3/CCL4 可塑造 “B 细胞高 IFN 活性” 的免疫微环境,增强抗原呈递与 T 细胞活化,从而提升 CRT + 抗 PD-1 疗效;
价值:从“关联” 到 “因果机制”,为标志物的临床价值提供生物学依据,大幅提升研究深度。
总结:临床 + 模型 + 机制,肿瘤免疫顶刊的发文逻辑
中山大学肿瘤防治中心团队的这项研究,完美示范了肿瘤免疫治疗顶刊的“黄金发文公式”:临床痛点→队列筛选标志物→构建可量化模型→内外验证确保可靠性→多组学解析机制→转化为临床工具。整个研究从临床需求出发,以患者生存为核心,既有 “实用的预测模型”,又有 “深刻的机制解释”,同时满足 “临床价值” 与 “科学深度”,这正是 J Immunother Cancer 等顶刊的核心收录标准。
对于肿瘤领域的医生或研究者,这类研究的发文逻辑可直接复用:① 锚定某类治疗方案的未满足需求(如疗效预测);② 基于临床队列筛选简单易测的标志物(如血清细胞因子);③ 构建并验证可量化模型,整合临床特征提升实用性;④ 用多组学揭示机制,增强研究深度;⑤ 强调临床转化价值,为治疗决策提供依据。
原文DOI: 10.1136/jitc-2025-013065
专注期刊投稿、发表十年,任何投稿、写作难题欢迎咨询!

PAPER INFORMATION
快速预审、投刊前指导、专业学术评审,对文章进行评价
校对编辑、深度润色,让稿 件符合学术规范,格式体例等标准
适用于语句和结构尚需完善和调整的中文文章,确保稿件达到要求
数据库包括: 期刊、文书籍、会议、预印章、书、百科全书和摘要等
让作者在期刊选择时避免走弯路,缩短稿件被接收的周期
根据目标期刊格式要求对作者文章进行全面的格式修改和调整
帮助作者将稿件提交至目标期刊投稿系统,降低退稿或拒稿率
按照您提供的稿件内容,指导完成投稿附信(cover letter)
北京总部:北京市海淀区碧桐园 3 号楼 2 层 211 广州办事处:广州市黄埔区科学城国际企业孵化器 E栋306 联系人:客服 / 18163670350
Copyright © 2022-2024 北京特诺科技有限公司 版权所有 备案/许可证编号为: 京 ICP 备 2023007944 号