来源:特诺科研
膀胱癌、肾癌、前列腺癌等泌尿系肿瘤临床诊疗中,影像、病理、多组学、检验数据长期碎片化割裂,导致诊断不一、分型不准、预后评估偏差大,单模态分析更难满足精准诊疗需求。
近日,四川肿瘤医院科研团队在国际顶级医学信息学期刊《npj Digital Medicine》(IF=15.1)发表重磅多组学多模态深度学习研究,构建UroFusion-X 统一框架,首次实现泌尿系肿瘤的诊断、分子分型、预后预测一体化AI 建模,缺模态仍能保留 90% 以上性能,为临床医生发多组学 + AI 融合类高分论文提供了可直接复刻的顶刊范式。

文章信息速览
原标题:UroFusion-X: a unified multimodal deep learning framework for robust diagnosis, subtyping, and prognosis of urological cancers
期刊:npj Digital Medicine(IF=15.1)
关键词:泌尿系肿瘤、膀胱癌、肾癌、前列腺癌、多组学、多模态深度学习、影像组学、病理组学、基因组学、门控专家融合、缺模态鲁棒性、预后预测、分子分型
研究背景与临床痛点
数据割裂:影像、病理、多组学、检验数据碎片化,临床决策一致性差;
单模态局限:单一影像 / 病理 / 组学模型无法利用互补信息,泛化性差;
缺模态崩盘:临床常缺某项检查,传统融合模型性能急剧下降;
可解释性差:多数 AI 模型无跨模态可解释性,临床信任度低;
预后不准:现有临床评分(CAPRA-S、SSIGN、EORTC)区分度有限,精准分层不足。
研究核心亮点
这篇顶刊研究以「临床痛点→模型构建→多维度验证→临床落地」为逻辑,用多组学 + 多模态深度学习完美契合医学 AI 顶刊发文思路,关键结果均有图表支撑:
多模态融合建模,诊断 / 分型性能全面超越单模态(图 1a)UroFusion-X 融合 3D 影像、病理、多组学、临床数据,膀胱癌 AUROC 达 0.92、肾癌 0.90、前列腺癌 0.88,较单模态模型提升 6-10 个百分点;分子分型 F1 值最高 0.88,远超传统融合方案。
跨中心泛化性极强,LOCO 验证仅降 2-6%(图 1b)采用留一中心法(LOCO)外部验证,模型在不同医院、不同设备、不同数据分布下,AUROC 仅下降 2-6%,远优于单任务模型的 2-12% 降幅,可直接跨院部署。

图1
多任务联合学习,诊断 / 分型 / 预后三效提升(图 1d、图 2)同步优化诊断、分型、预后三大任务,共享 65% 任务无关特征,诊断准确率提 3-5%、分型提 2-4%、生存 C-index 提 0.03-0.05,梯度稳定性提升 40%。

图2
门控融合 + 模态丢弃,缺模态仍稳保 90% 性能(图 3、图 4)创新门控专家融合(PoE)+ 模态丢弃训练,缺失任一模态时,AUROC 仅降 2-4%,平均降解仅 2.8%,远低于简单拼接的 8.5%,病理 / 影像 / 组学缺项都不影响核心判断。

图3

图4
预后分层精准清晰,显著优于临床传统评分(图 5)模型对三类泌尿系肿瘤实现高低危清晰分层,膀胱癌 C-index 0.75、肾癌 0.73、前列腺癌 0.71,较 CAPRA-S、SSIGN、EORTC 提升 10-15 个百分点,高危组生存期差异极显著(p<0.001)。

图5
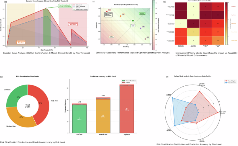
决策曲线证实临床价值,净收益直接翻倍(图 3a)50% 风险阈值下,模型净收益 0.18,是临床评分的 2 倍,假阳性率从 22-25% 降至 12%,每 1000 例患者可减少 100-130 例过度治疗,临床实用性拉满。
总结:多组学 + 多模态 AI,泌尿系肿瘤高分论文范式
该联合科研团队依托多组学 + 多模态深度学习技术,构建 UroFusion-X 一体化框架,完美解决泌尿系肿瘤数据割裂、缺模态失效、预后不准三大临床痛点,模型兼具高准确率、强泛化性、高可解释性与真实临床收益。
研究从临床实际问题出发,以多组学多模态数据为核心,用严谨的模型设计、多中心外部验证、缺模态模拟、临床决策曲线分析,完整走完「基础建模→性能验证→临床转化」全流程,为泌尿外科、肿瘤科医生做 AI + 多组学高分论文提供了可参考的设计思路与实验方案。
原文DOI: 10.1038/s41746-025-02295-6
特诺科技是一支长期专注SCI论文支持服务的团队,团队成员在科研论文结构优化和学术表达方面已经积累了十多年的经验。到目前为止,我们已经累计服务过100000多位医生和科研人员,合作医院覆盖600多家医疗机构,涉及肿瘤、免疫、代谢、心血管等多个临床研究方向。
在实际工作中,我们每年接触到的科研项目超过数百项。很多团队在实验阶段已经积累了不错的数据基础,但在论文阶段往往需要进一步梳理研究主线、强化机制逻辑或优化整体结构。很多时候,一些关键逻辑的调整,就可能让一篇论文的说服力明显提升。
因此我们的工作重点,并不仅仅是语言润色,而更多是从论文整体结构出发,帮助研究者梳理研究故事线,包括多组学数据整合、图表结构优化、机制逻辑强化以及审稿意见回复策略等。通过这些方式,让研究成果能够更清晰地呈现其科学价值。
如果你已经完成了实验,但不确定论文的整体逻辑是否完整,或者在投稿和审稿过程中遇到一些困惑,也可以和我们的科研顾问交流一下研究思路。很多团队在正式写作之前做一次研究结构评估,往往就能提前发现一些关键问题。
科研写作从来不仅仅是展示实验结果,它更像是在讲述一个严密的科学故事。而顶刊真正认可的,往往正是这种完整而有说服力的研究逻辑。
如果这类顶刊研究拆解对你有帮助,也欢迎扫码添加我们的科研顾问微信交流。也许一次简单的讨论,就能让一篇论文的结构变得更加清晰。
专注期刊投稿、发表十年,任何投稿、写作难题欢迎咨询!

PAPER INFORMATION
快速预审、投刊前指导、专业学术评审,对文章进行评价
校对编辑、深度润色,让稿 件符合学术规范,格式体例等标准
适用于语句和结构尚需完善和调整的中文文章,确保稿件达到要求
数据库包括: 期刊、文书籍、会议、预印章、书、百科全书和摘要等
让作者在期刊选择时避免走弯路,缩短稿件被接收的周期
根据目标期刊格式要求对作者文章进行全面的格式修改和调整
帮助作者将稿件提交至目标期刊投稿系统,降低退稿或拒稿率
按照您提供的稿件内容,指导完成投稿附信(cover letter)
北京总部:北京市海淀区碧桐园 3 号楼 2 层 211 广州办事处:广州市黄埔区科学城国际企业孵化器 E栋306 联系人:客服 / 18163670350
Copyright © 2022-2024 北京特诺科技有限公司 版权所有 备案/许可证编号为: 京 ICP 备 2023007944 号