来源:特诺科研
今天带大家拆解中山一院团队的这篇卵巢癌多组学研究,从公共数据挖到 36 例临床标本验证,每步都贴妇科临床需求 —— 要是你觉得自己梳理数据、建模型麻烦,找我们团队帮你搞定从基因筛选到图表生成的全流程,省心出成果!

一、文章信息速览
原标题:Establishment and validation of a prognostic model based on vasculogenic mimicry-related gene clustering in ovarian cancer
期刊:Frontiers In Oncology(IF=3.3)
关键词:卵巢癌(HGSOC)、血管生成拟态(VM)、9 基因预后模型(VMRPI)、多组学分析(TCGA/GEO/GTEx)、LASSO-Cox 回归、免疫浸润、IHC-PAS 验证、临床 nomogram
二、拆解论文“行文架构”:妇科医生能抄的多组学发文逻辑
这篇文章能成,核心是走了“抓临床痛点(VM 预后价值)→用公共数据搭框架→小样本验证落地” 的闭环,没堆砌复杂实验,全程围绕 “卵巢癌 VM 相关基因怎么指导预后” 展开,精准契合妇科肿瘤期刊对 “临床转化” 的要求,咱们医生做研究也能照这个模板来!
1. 第一步:数据 “打底”—— 公共库整合,降低成本还贴临床
作者没自己做大规模测序,而是先整合三大公共数据库:
肿瘤数据:TCGA 的 429 例 HGSOC、GEO 的 GSE51088(98 例)和 GSE17260(110 例),分别做训练 / 内部验证 / 外部验证;
正常对照:GTEx 的 180 例正常输卵管上皮组织(贴合 HGSOC 起源假说,比用正常卵巢组织更合理);
关键操作:用“Combat” 去除 batch 效应,PCA 验证数据一致性(图 1A)—— 这步是公共数据研究的 “基础功”,医生用公共数据时一定要做,不然审稿人会质疑数据可靠性。
2. 第二步:分 “VM 亚型”—— 抓核心预后因素,先定分组
VM 是卵巢癌预后差的关键,但之前没人用它分亚型。作者先从文献挖了 28 个 VM 相关基因,再用单因素 Cox 筛选出 6 个有预后意义的核心基因(SNAI1、MMP2 等,图 1B),最后用共识聚类把 474 例患者分成 “VM-high” 和 “VM-low” 两组(图 1D):
结果超明确:VM-high 组生存期显著更短(图 2E),还能排除测序平台、临床特征(年龄 / 分期)的干扰(图 1F)—— 这步直接把 “VM” 从 “已知因素” 变成 “分型依据”,创新点一下就出来了,医生做研究要学会把临床已知的 “预后因素” 转化为 “分型工具”。

3. 第三步:建 “9 基因模型”——LASSO-Cox 筛选,模型要 “稳”
选基因没靠感觉,而是用“差异分析 + LASSO-Cox” 层层过滤:
先找 VM-high/low 组的差异基因(758 个 DEGs),富集到 ECM - 受体、PI3K-AKT 等卵巢癌经典通路(图 2B);
再用单因素 Cox 从 DEGs 里挑出 260 个预后相关基因,LASSO 回归压缩到 9 个核心基因(FPR1、ADH1B 等,图 2C-D),建了 “VM 相关预后指数(VMRPI)”;

关键是“稳”:训练集 1/3/5 年 AUC 0.694/0.746/0.727,外部验证集也有 0.731/0.633/0.723(图 4A-B),高低危组生存期差异在所有数据集都显著(图 3C-D)—— 医生建模型一定要做 “多数据集验证”,不然审稿人会说 “过拟合”。

4. 第四步:贴 “临床价值”—— 做 nomogram + 免疫 / 药敏分析
光有模型不够,得让它对临床有用!作者做了两件关键事:
建“nomogram”:把 9 基因模型和年龄、分期、分级整合,能定量预测 1/3/5 年生存(图 5G),校准曲线证明预测准(图 4F)—— 这东西对临床医生太实用了,期刊就爱这种 “能直接用的工具”;
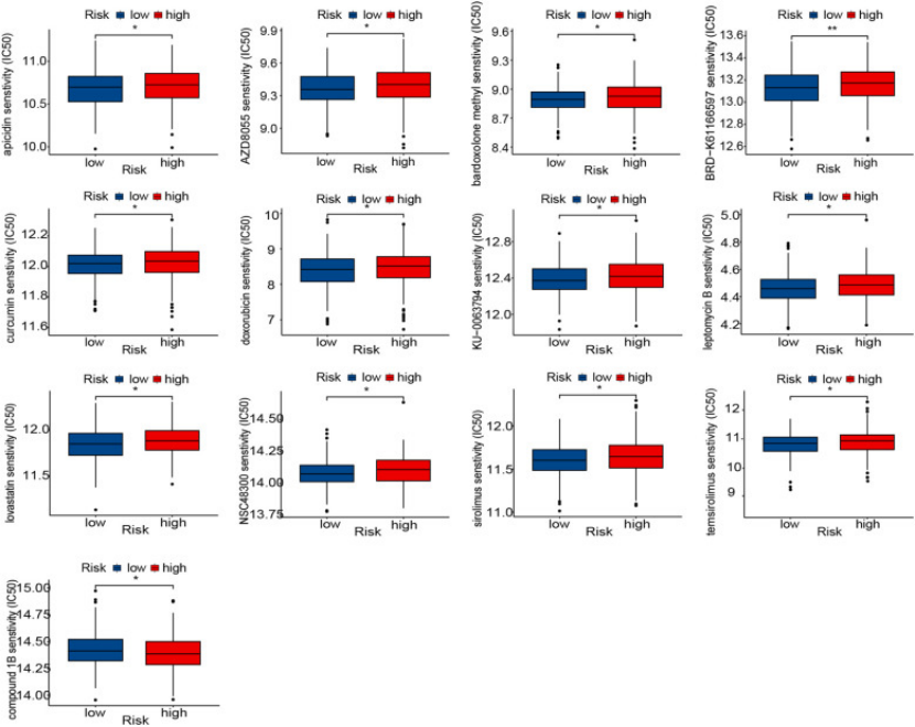
关联免疫 + 药敏:VM-high 组免疫评分、 stromal 评分更高(图 4C),还能预测药物敏感性(比如高风险组对多柔比星耐药,对 Compound 1B 敏感,图 5)—— 这步把 “预后模型” 和 “治疗选择” 挂钩,文章价值直接翻倍


5. 第五步:小样本 “验证”——36 例临床标本,低成本落地
怕生信结果飘?作者只用了36 例 HGSOC 临床标本就搞定验证:
用 IHC-PAS 染色找 VM 结构(CD31⁻/PAS⁺,图 6A),6 例阳性(符合文献报道比例);
qPCR 验证:VM 阳性组的 VM 相关基因(MMP2、SNAI2 等)和 9 基因模型里的高风险基因(FPR1、ADH1B 等)都显著高表达(图 6B)—— 医生不用搞几十上百例标本,30-50 例匹配的石蜡 + 冰冻标本,做个 IHC 和 qPCR,就能让结果更可信。

三、妇科医生发卵巢癌多组学文章的“避坑指南”
抓“临床没用好的预后因素”:像 VM 这种已知和卵巢癌预后相关,但没进常规评估体系的因素,比跟风做 “免疫检查点” 更有新意 —— 医生每天接触患者,最清楚哪些因素 “重要但没被深入研究”,从这切入准没错。
“公共数据 + 小样本验证” 性价比最高:用 TCGA/GEO 搭好模型框架,自己补 30-50 例临床标本做 IHC/qPCR,成本低、周期短,临床忙也能兼顾 —— 别硬凑大样本,小而精的验证更受期刊认可。
模型一定要“贴临床”:像作者那样整合年龄、分期做 nomogram,再关联药物敏感性,告诉临床 “高风险患者该用什么药”,文章的临床价值才够高。
专注期刊投稿、发表十年,任何投稿、写作难题欢迎咨询!

PAPER INFORMATION
快速预审、投刊前指导、专业学术评审,对文章进行评价
校对编辑、深度润色,让稿 件符合学术规范,格式体例等标准
适用于语句和结构尚需完善和调整的中文文章,确保稿件达到要求
数据库包括: 期刊、文书籍、会议、预印章、书、百科全书和摘要等
让作者在期刊选择时避免走弯路,缩短稿件被接收的周期
根据目标期刊格式要求对作者文章进行全面的格式修改和调整
帮助作者将稿件提交至目标期刊投稿系统,降低退稿或拒稿率
按照您提供的稿件内容,指导完成投稿附信(cover letter)
北京总部:北京市海淀区碧桐园 3 号楼 2 层 211 广州办事处:广州市黄埔区科学城国际企业孵化器 E栋306 联系人:客服 / 18163670350
Copyright © 2022-2024 北京特诺科技有限公司 版权所有 备案/许可证编号为: 京 ICP 备 2023007944 号