来源:特诺科研
心血管疾病的病理基础多在儿童青少年时期奠定,但目前针对儿童的预防策略多聚焦饮食结构、运动,却忽略了“进食时间” 这一可轻松调整的生活方式因素。近日,重庆医科大学附属儿童医院团队在《Nature Communications》(IF=15.7,Nature 子刊顶刊)发表里程碑式研究:基于7459 名中国儿童(3 省多中心队列)的大样本数据,首次明确儿童进食时间模式与心血管风险的关联,并通过蛋白质组 + 脂质组多组学解析机制,提出 “早吃+ 短进食窗口” 的精准预防方案,为儿童心血管健康早期干预提供全新依据!

文章信息速览
原标题:Multiomics insights into eating time patterns and cardiovascular risk among Chinese children
期刊:Nature Communications(IF=15.7,生物医学顶刊,开源获取)
关键词:儿童心血管风险、进食时间模式、多组学、三酰甘油、血压、颈动脉内中膜厚度(CIMT)
研究背景与临床痛点
早期预防关键:心血管疾病(CVD)是全球第一大死因,其病理基础(如血管硬化)多在儿童期启动,早期识别可修饰风险因素至关重要;
研究空白:成人研究已证实“进食时间” 与心血管健康相关,但儿童青少年群体缺乏大样本、多中心证据,且分子机制完全不明;
干预困境:现有儿童心血管预防多强调“吃什么”(如少糖少盐),但 “什么时候吃” 的指导缺失,而进食时间是比饮食结构更易调整的生活方式因素;
缺乏标志物:儿童亚临床心血管损伤(如 CIMT 增厚)难以早期发现,缺乏精准的分子标志物用于风险分层和干预监测。
核心亮点
这篇 Nature Communications 顶刊的成功,核心在于 “大样本队列奠基→精准分类暴露→多组学解析机制→临床转化落地” 的闭环,4 大核心发现直击研究痛点,完全契合顶刊对 “创新性 + 可靠性 + 转化价值” 的要求:
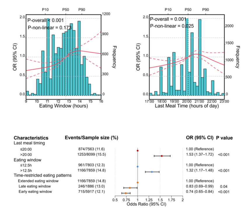
1. 第一步:3 种进食模式分类,精准锁定高风险人群(图 1)
分类依据:通过限制性立方样条分析,确定 2 个关键阈值 —— 进食窗口 12.5 小时、最后一餐时间 20:00,将儿童分为 3 类进食模式:
延长进食窗口(Extended EW):进食时间 > 12.5 小时(如 7 点吃早餐、20:30 吃晚餐,持续 13.5 小时);
晚期进食窗口(Late EW):进食时间≤12.5 小时,但最后一餐 > 20:00;
早期进食窗口(Early EW):进食时间≤12.5 小时,且最后一餐≤20:00;
价值:首次为儿童进食时间提供“量化标准”,避免模糊定义,为后续关联分析奠定基础 —— 这是顶刊认可的 “暴露因素精准化” 关键步骤。
2. 第二步:大样本验证,早吃 + 短窗口显著降低心血管风险(图 1b)
核心关联(调整性别、年龄、饮食结构等 10 + 混杂因素后):
高血压风险:与延长 EW 相比,早期 EW 儿童高血压风险降低 26%(OR=0.74,95% CI=0.65-0.84,P<0.001),晚期 EW 降低 17%(OR=0.83,P=0.04);
亚临床损伤:延长 EW 与颈动脉内中膜厚度(CIMT)增厚显著相关(β=0.010,P<0.001),而 CIMT 是成人 CVD 的强预测因子;
剂量效应:每延长 1 小时进食窗口,收缩压升高 0.312 mmHg、舒张压升高 0.354 mmHg(均 P<0.001);每推迟 1 小时吃晚餐,收缩压升高 0.360 mmHg(P<0.001);
稳定性:在不同性别、年龄、体重状态、城乡地区亚组中,早期 EW 的保护作用均一致(P 交互 > 0.05),排除混杂干扰。

图1
3. 第三步:多组学解析机制,三酰甘油是核心中介(图 2-4)
蛋白质组:51 人嵌套病例对照分析发现 87 个差异蛋白,早期 EW 儿童中,与心肌收缩(MYL1、MYH1)、脂质代谢(APOA4、CETP)相关蛋白表达更优,而与代谢综合征相关的 APOH 蛋白表达降低;
脂质组:
主成分分析显示 3 种进食模式的脂质谱完全分离(PC1+PC2 解释 53.1% 方差,图 3a);
延长 EW 儿童的长链多不饱和三酰甘油(TAG 52-58)显著升高,磷脂酰乙醇胺(PE)显著降低(图 3b-c);
中介分析:三酰甘油(TAG)介导了进食模式与高血压之间 64.8% 的效应(总间接效应 =-0.229,95% CI=-0.403~-0.054),是关键分子通路;
生物标志物:4 种机器学习算法(随机森林、弹性网络等)共同筛选出 6 个核心脂质标志物(如 TAG (52:2)_FA14:0、PC (18:0/18:0)),可精准区分进食模式相关的心血管风险(图 4d)。

图2

图3

图4
4. 第四步:临床转化落地,提出可操作的儿童进食建议
核心建议:
进食窗口≤12.5 小时(如早餐 7:00-7:30,晚餐 19:30 前吃完,持续 12 小时);
最后一餐不晚于 20:00,避免睡前 2 小时内进食;
优势:无需改变饮食结构,仅调整进食时间,家长易执行,适合大规模公共卫生推广;
监测工具:6 个核心脂质标志物可用于干预效果监测,弥补儿童心血管风险 “无标可依” 的困境。
顶刊逻辑拆解
这篇 IF=15.7 顶刊的研究设计,完美契合 Nature 子刊的收录标准,3 个关键逻辑值得所有临床科研人借鉴:
暴露因素精准化:不笼统说“早吃 / 晚吃”,而是通过统计学方法确定客观阈值(12.5 小时、20:00),让研究结论可量化、可重复;
证据链闭环:从“大样本队列关联”(7459 人)→“亚组验证稳定性”→“小样本多组学机制”(51 人)→“中介效应锁定通路”→“生物标志物 + 临床建议落地”,每一步都相互支撑;
转化价值突出:研究结论直接转化为家长可操作的进食建议,同时提供分子标志物用于监测,既解决临床问题,又具备公共卫生意义。
临床与公共卫生意义
对家长:简单易执行,不用刻意改变孩子吃什么,只需控制“进食时长” 和 “晚餐时间”,比如早餐 7 点吃、晚餐 19:30 前结束,就能降低心血管风险;
长期获益:儿童期 CIMT 增厚、血压升高是成人高血压、冠心病的 “前奏”,早期调整进食时间,能为孩子终身心血管健康 “铺路”。
对医生:新增预防工具:儿童体检时,除了测血压、BMI,可额外询问进食时间,对 “延长 EW + 晚晚餐” 儿童重点干预;
精准监测:6 个核心脂质标志物可用于评估干预效果,避免 “只提建议、无法评估” 的困境。
对公共卫生:低成本干预:无需投入大量医疗资源,通过健康宣教推广“早吃 + 短窗口”,就能大规模降低儿童心血管风险,性价比极高。
局限性
观察性研究,虽调整了 10 + 混杂因素,但无法完全排除因果倒置(如可能是睡眠习惯同时影响进食时间和血压),需后续随机对照试验验证;
样本来自中国西南 3 省,需在其他地区、其他种族儿童中验证普适性;
多组学样本量较小(51 人),核心脂质标志物需更大样本外部验证。
总结
这篇 Nature Communications 顶刊研究,首次在大样本中国儿童中证实 “进食时间模式” 是心血管风险的可修饰因素,通过多组学技术锁定 “三酰甘油介导” 的核心机制,提出 “≤12.5 小时进食窗口 + 20:00 前吃完晚餐” 的精准预防方案。研究既解决了儿童心血管预防 “干预难” 的痛点,又提供了可量化的监测工具,为全球儿童心血管早期预防提供了中国证据。
原文DOI:10.1038/s41467-026-68617-8、
专注期刊投稿、发表十年,任何投稿、写作难题欢迎咨询!

PAPER INFORMATION
快速预审、投刊前指导、专业学术评审,对文章进行评价
校对编辑、深度润色,让稿 件符合学术规范,格式体例等标准
适用于语句和结构尚需完善和调整的中文文章,确保稿件达到要求
数据库包括: 期刊、文书籍、会议、预印章、书、百科全书和摘要等
让作者在期刊选择时避免走弯路,缩短稿件被接收的周期
根据目标期刊格式要求对作者文章进行全面的格式修改和调整
帮助作者将稿件提交至目标期刊投稿系统,降低退稿或拒稿率
按照您提供的稿件内容,指导完成投稿附信(cover letter)
北京总部:北京市海淀区碧桐园 3 号楼 2 层 211 广州办事处:广州市黄埔区科学城国际企业孵化器 E栋306 联系人:客服 / 18163670350
Copyright © 2022-2024 北京特诺科技有限公司 版权所有 备案/许可证编号为: 京 ICP 备 2023007944 号